temperatura escalas termométricas y dilatación

recordar la diferencia entre los conceptos de calor y temperatura; su relación es tan importante como su diferencia

La temperatura, como magnitud escalar, se mide en diferentes unidades termométricas. Las más comunes son grados Centígrados, grados Farenheit, y Kelvin

Uno de los efectos más comunes de la variación de la temperatura de los cuerpos es la DILATACIÓN.

La dilatación es el aumento de las dimensiones de los cuerpos, provocada por el aumento de la temperatura. esta puede ser lineal, superficial, y volumétrica.
Fórmula para la dilatación lineal
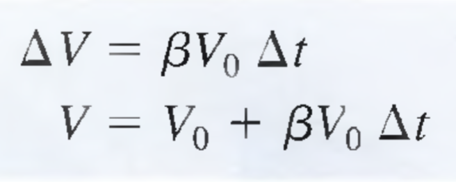
Fórmula para la dilatación superficial
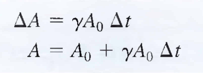
Fórmula para la dilatación volumétrica
Created with images by Moyan_Brenn - "Heat" • OliBac - "brrr !" • zigazou76 - "Joint de dilatation"

Made with Adobe Slate

Make your words and images move.

Get Slate

Report Abuse

If you feel that this video content violates the Adobe Terms of Use, you may report this content by filling out this quick form.

To report a Copyright Violation, please follow Section 17 in the Terms of Use.